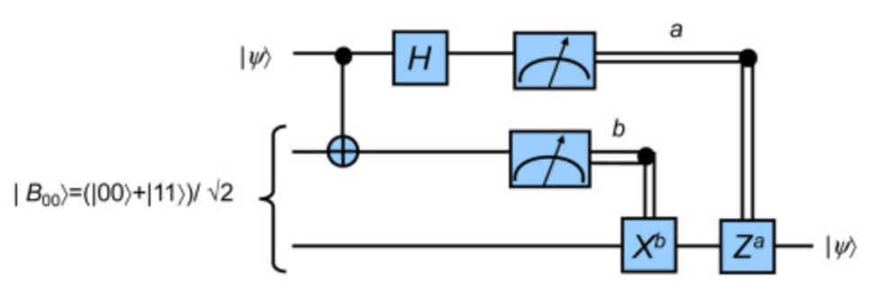
Quantum states can propagate faster than light by applying the following steps:

  1. Prepare an EPR pair of Qubits and , where is sent to Alice and to Bob.
  2. Given a Qubit with original Quantum state owned by Alice, entangle and by using a CNOT and Hadamard gates.
  3. Alice measures and .
  4. The original state of has now been propagated to , with the information needed to obtain the state dependent on the results of the measurements of and . The transmission of the classical bits resulting from the measurements ensures that the speed of light has not been violated.

Image taken from ScienceDirect

  • Flesh out the details above.